Weidinger Tamás, Gertner Orsolya, Boda Zsuzsanna – ELTE Meteorológiai Tanszék, 1117 Budapest Pázmány Péter s. 1/A. weidi@ludens.elte.hu, zsuzsanna282@gmail.com, gia.geo.orsi@gmail.com

Munkácsy Béla – ELTE TTK Környezet- és Tájföldrajzi Tanszék,
1117 Budapest Pázmány Péter s. 1/D., munkacsy elte.hu

Véghely Tamás – GaiaSolar Kft., 2040 Budaörs, Domb utca 9., tjv@gaiasolar.com

Bevezetés

Magyarországon az elmúlt két évtizedben jelentős kapacitásnövekedésen ment keresztül a szélenergia hasznosítás, az egyre nagyobb teljesítményű szálturbináknak köszönhetően (Szalai et al., 2010). Az általunk vizsgált kisteljesítményű szélgenerátorok viszont olyan berendezések, amelyek elsősorban falusi, tanyai és városi környezethez lettek tervezve és legtöbbször épületek tetején vagy az épületek közelében találhatók. Teljesítményük általában 20 kW alatti (Wineur, 2007).

Bemutatjuk a kisteljesítményű szélgenerátorok típusait és európai alkalmazási lehetőségeit. Az összehasonlító termelési mutatóinak  áttekintése után a hazai választékkal is foglalkozunk. Mindenekelőtt az 5 kW-nál kisebb generátorokkal foglalkozunk (Cace et al., 2007). Elemezzük az átlagos szélsebesség és a beruházás megtérüléséhez tartozó pénzügyi mutatók közötti kapcsolatot. is. Az OMSZ állomásain mért széladatok, illetve saját energeti-kai szélméréseink (budapesti bevásárlóközpont, budaörsi családi házas környezet) alapján becsüljük a várható energiatermelést. Ismertetjük a szélprofil-számítás és az energiabecslés módszertanát, a terepi mérések és a hosszú meteorológiai idősorok együttes feldolgozását.

Eddigi vizsgálataink alapján jelentős támogatási források nélkül, csak ott éri meg kis szélgenerátort telepíteni, ahol a sokévi átlagos szélsebesség meghaladja a 4,5–5 m/s-os értéket. Az alsó 10–30 m-es rétegben ilyen helyeket hegyvidéki területeken, esetleg domborzat keltette szélcsatornákban találhatunk. Előzetes szélmérések nélkül azonban itt is kockázatos a beruházás. Városi környezetben nem, vagy csak nagy óvatossággal javasoljuk szélgenerátorok alkalmazását. Ehhez új típusok, további K+F kutatások kellenek, amelyek néhány kedvező szélklímájú országban a legutóbbi években felgyorsulni látszanak. Ennek eredményeként már felépültek az első olyan épületek (World Trade Centre – Manama, Bahrein; Strata – London), amelyekbe már a tervezéskor integrálták a szélgenerátorokat, illetve felbukkantak a kínálatban olyan berendezések, amelyek a tervezők kifejezetten utólagos beépítésre szántak (Crossflex). Bizonyos fejlesztések ugynevezett  „szélfokozókat” alkalmaznak, melyek igéretes megoldást jelenthetnek ezen a területen.  Hazánkban egyelőre a mai technológiai szinten a szélgépek mezőgazdasági alkalmazása lehet a cél.

Szélgenerátorok

A szélgenerátoroknak két fő típusa van a piacon: a hagyományos vízszintes tengelyű berendezés, amely általában két vagy több  lapáttal rendelkezik és a függőleges tengelyű generátorok. Vannak még különleges felépítésű vízszintes tengelyű turbinák is, amelyek lapátszerkezete jelentősen eltér a hagyományostól. Ezek legfőbb előnye, hogy a függőleges tengelyű generátorokhoz hasonlóan nem kell külön mechanizmus ahhoz, hogy szélirányba fordítsa. Több hazai fejlesztés is folyik. Kereskedelmi forgalomban lévő, ellenőrzött mérési eredményekkel rendelkező hazai generátorok azonban nincsenek.

A piacon kapható kisteljesítményű szélgenerátorok összehasonlítására Hollandia délnyugati sarkában, Schoondikje környékén folytattak méréseket. Tíz turbinát teszteltek. A szélgenerátorokat egy egyenes vonal mentén helyezték el 12 méter magasan egy nyitott területen. A néhány közeli épület és fa árnyékoló hatása nem volt számottevő.
A referencia szélsebességmérést 1 ponton végezték 5 perces átlagolással. A mérések 2008. április 1-je és szeptember 30-a között folytak. Az I. táblázatban közölt berendezések közül a Fortis Montana típus teljesített a legjobban. Az első három hónapban 1453 kWh volt a berendezés által megtermelt villamos energia mennyisége 4,5 m/s-os átlagos szélsebesség mellett. A legnagyobb termelése a 4. héten volt, amikor is az átlagos energia termelése 30 kWh/nap volt. Ezt 6,5 m/s-os átlagos szélsebesség mellett érte el. A hat hónapos tesztidőszak alatt az átlagos szélsebesség egyébként 3,5 m/s  volt, ami az adott területen kevéssé az átlag alattinak tekinthető.

 

Típus (milyen gép?) Termelés [kWh] Euro/kWh* Típus ára
Fortis Montana 1397 0,22 18508 €
Skystream 774 0,23 10742 €
Passaat 261 0,59 9239 €
Ampair 76 1,96 8925 €
Airdolphin 124 2,36 17548 €
WRE 060 (Windside) 212 3,08 39162 €
Energy Ball 22 3,28 4324 €
Swift 28 7,86 13208 €
Turby 43 8,28 21350 €
WRE 030 (Windside) 62 8,30 30862 €

I. táblázat Kisteljesítményű (20 kW alatti) szélgenerátorok összehasonlító vizsgálata, 3,5 m/s-os átlagos szélsebesség mellett, Hollandia 2008 (Delta, www.fortiswindenergy.com)
* a kWh-kénti ár 20 éves élettartam és 3,5 m/s-os átlagos szélsebesség mellett.

A táblázat óvatosságra int. Jól látható, hogy milyen nagy különbség van az egyes típusok és az áraik között. Egy szélgenerátor telepítésénél figyelembe kell venni, hogy az adott területre mely típus lenne a legalkalmasabb, hiszen az egyes típusok más-más környezetben különböző módon teljesítenek.

Kisteljesítményű szélgenerátorok Magyarországon

Hazánkban is egyre népszerűbbek a kisteljesítményű szélgenerátorok. Jellemzően vidéken, hétvégi házaknál vagy villanyáram nélküli helyeken. De telepítenek marketing, illetve takarékossági céllal is. Magyarországon kisteljesítményű szélgenerátoroknál elterjedtebbek a kisteljesítményű szélgépek, melyek alkalmazási területe a vízszivattyúzás, valamint a vízmozgatás (például Tiszavasvári, Nyíregyháza, Miskolc). Főként öntözés, vadgazdálkodás, halastavak, legeltetéses állattartás fejlesztésére és néhol a talajvízszint szabályozására, és oktatási/demonstrációs célokra használják őket (Keveiné, 1991, MSZET, 2008, http://www.mszet.hu/). Mi is ezek használatát javasoljuk.

Egyre több cég foglalkozik kisteljesítményű szélgenerátorok és szélgépek forgalmazásával és telepítésével. Egyre több modell található nálunk is. Ezek közül néhányat a II. táblázatban mutatunk be megadva az árát és névleges teljesítményét.

       SZÉLGENERÁTOROK

Típus Névleges teljesítmény /
Névleges feszültség
Bruttó ár
WP 500 500W / 12 vagy 24 VDC, 562 500,- Ft
WP 1000 1000W / 24 VDC 1 112 500,- Ft
WP 3000 3000W / 48 VDC 2 637 500,- Ft
WP 5000 5000W / 110 VDC 4 325 000,- Ft
ZW-1000 1000W / 48VDC (csúcs 1500W) 625 000,- Ft
ZW-2000 1500W / 48VDC (csúcs 2000W) 937 500,- Ft
WRE.030 3000W / 48 VDC * 7 820 680,- Ft
WRE.060 6000W / 48 VDC * 9 854 555,- Ft

II. táblázat. Szélgenerátor típusok (feltüntetett árak 2010. áprilisiak, a *-gal jelölt árak a 2011. május 5-ei középárfolyamon lettek EUR-ról Ft-ra váltva).
(Forrás: http://gaiasolar.com, http://www.permanent.hu/index.php, http://nrg-eco-store.hu )

A villamos energiát termelő szélgenerátorokon kívül bemutatunk két mechanikus szélerőgép típust is, amelyeket vízszivattyúzásra alkalmaznak. Az egyik ilyen gép az AER06 típusú 12 lapátos szélerőgép, amelynek 1,9 m/s az indulási szélsebessége, a szívómélysége legfeljebb 6 m, a névleges emelő magassága pedig 7 m. A membrán szivattyú típusát a víz mennyiségének igénye határozza meg. A gép névleges teljesítménye 14001800 liter/óra. A másik gép az AER21 típusú 18 lapátos vízszivattyús szélerőgép. Ennek a modellnek az indulási szélsebessége 1,8 m/s-nál van, a maximális szívómélysége 7 m, a névleges emelőmagassága pedig 10 m. Akárcsak az előző gépnél itt is az igények határozzák meg a membrán szivattyú típusát. A névleges teljesítménye 3500 liter/óra (NYÍR-ÖKO-WATT Kft., Nyíregyháza, http://www.nyirokowatt.hu).

  • A fentiek alapján látható, mennyire fontos gazdasági (megtérülési) szempontból egy kisteljesítményű szélgenerátor telepítésének kérdése. Szerencsére az EU kormányai támogatják a megújuló energiaforrások térnyerését. Ennek alapja a 2003/96/EC rendelet, mely 2003. október 27-én fogadott el az EU Parlament. A Magyar Állam is különböző pályázati kiírásokkal és engedményekkel szorgalmazza az ilyen típusú beruházásokat. Sokat segít, hogy az energiaszolgáltatóknak Magyarországon kötelességük átvenni az így előállított villamos energiát (2007. évi LXXXVI. törvény a villamos energiáról

VET (Villamos Energia Törvény) 2008 mely Januárban hatályba lépett, illetve KÁT, 2010).

Nagyon fontos, hogy az előállítási ár mind a kis-, mind a nagyteljesítményű szélgenerátorok fejlődésével jelentősen csökkent az elmúlt 30 évben. Nyilvános adatként hazánkban csak a nagyteljesítményű szélgenerátorok energia előállítási költségei érhetőek el. A 20062008-as években például a működési költség – ilyen a karbantartás, biztosítás, javítások, pótalkatrészek, adminisztrációs és személyi költségek, (tőkeköltség nélkül) –  5,611,2 Ft/kWh volt. Ez az összeg 2009-re már 57 Ft/kWh-ra csökkent.

A kis teljesítményű szélgenerátorok esetében – külföldi adatok szerint – az üzemeltetési költségek sem olyan kedvezők, mint a klasszikus nagy turbinák esetében:
10 kW-nal kisebb (rotorátmérő 7 m-ig) gépek esetén ez az érték a teljes életciklusra
16,0 c€/kWh (48 Ft/kWh), a 10–75 kW közötti kategóriában (rotorátmérő 7–16 m között) azonban már csak 3,5 c€/kWh (10,5 Ft/kWh) (Kühn, 2010).

A kisteljesítményű szélgenerátorok esetében a lakossági energia árak a meghatározóak, mivel a telepített generátorok teljesítményének nem eladás, hanem egyéni felhasználás a célja (KÁT, 2010). Egy ilyen beruházásnál meg kell fontolni, hogy az adott területre érdemes-e szélgenerátort telepíteni vagy sem. Ez a telepítést megelőzően terepi mérésekkel vizsgálható a legjobban, viszont az ilyen mérések drágák, gyakran egy „olcsóbb” szélgenerátor beszerzési árának a szintjén vannak. Ha a terület megfelelő szélenergia potenciállal rendelkezik, akkor ki kell választani az adott területre legmegfelelőbb generátor típust. Egy jó minőségű szélgenerátor ára viszont magas, s ehhez hozzájönnek még az egyéb tartozékok és a telepítési költség. Ezen felül, még ott vannak a különféle hatósági engedélyek. További költséget jelent az évek során a karbantartás, például az akkumulátorokat 68 évente, cserélni kell. Egy kisteljesítményű szélgenerátor telepítése is több millió Forintos nagyságrendű tétel lehet. Élettartama 15–20 év. Ezért a mai energiaárak mellett (körülbelül 47 Ft/kWh) is meg kell fontolni, hogy állami támogatás nélkül is megéri-e a beruházás.

A szélsebesség adatsorok becslése

A standard (10 m) meteorológiai mérésekből történő szélprofil számításnak két fő módszere van a Monin-Obukhov féle hasonlósági elmélet, illetve a hatványkitevős szélprofil közelítés (Weidinger et al., 2000, 2006). A hasonlósági elmélet az állandó fluxusú réteg felett (éjszakai stabil légrétegződés esetén 10-20 m) jelentős hibával terhelt (Cost Action 710, 1998, Weidinger et. al, 2000).

A szélenergetikai becsléseknél a hatványkitevős szélprofil közelítés a leggyakrabban alkalmazott módszer:

ahol U a becsült szélsebesség a z magasságban, míg Uref a referencia szint szélsebessége, p  a stabilitástól függő hatványkitevő (Irwin, 1979, ISC3 User’s Guide, 1995). Alacsony vegetációjú homogén felszín felett a logaritmikus profilközelítésből leszármaztatott p értéke 1/7. Ez az általánosan elfogadott alapbecslés. Ha figyelembe vesszük a stabilitástól való függést (pl. Pasquill–kategóriák), akkor a nappali konvektív felszín közeli rétegben 0,07–0,1 értékkel számolhatunk, míg az extrém stabilis rétegződés esetén 0,25–0,35 közötti értékeket javasolnak. Városkörnyéki területeken – nagy érdességű felszínek felett – az átlagos hatványkitevő 0,2 körüli (0,14–0,26) (Emeis, 2005).

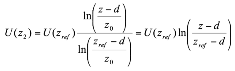
A szélsebesség egy tetszőleges z magasságban – első közelítésként – logaritmikus profillal is

Leírható az érdességi magasság (z0) és a kiszorítási rétegvastagság (d) segítségével:

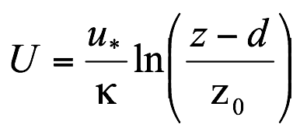
A z0 érdességi magasság és a d kiszorítási rétegvastagság az érdességi elemek átlagos magasságának (h) 10, illetve 5070%-a. A logaritmikus profilegyenlet általános alakja:

ahol   a súrlódási sebesség,   a Kármán-állandó, aminek értéke 0,4. A felszíni érdesség jelentősen befolyásolja a szélsebesség változását a magasság függvényében.

Esettanulmányok

Ha rendelkezésre áll egy terepi mérés adatsora (akár néhány hónapos) és van egy hosszú állomási adatsor is, akkor e kettő ismertében előállítható a mérés helyszínére egy teljes éves adatsor. Minél több adat áll rendelkezésre annál pontosabb becslés adható a szélgenerátor teljesítményére is. Ehhez használható pl. az inflált regressziós módszer, ami jellegét tekintve hasonlít a lineáris regresszióra, de az átlagos viselkedésen kívül a változékonyságot is képes reprodukálni (Steven et al., 1986) Ennek segítségével végeztünk mi is becslést egy budapesti bevásárlóközpontra tervezett szélgenerátor termelésére (Weidinger et al., 2008).

A számításokat a kínai gyártmányú Vk1–5 szélgenerátorra végeztük. A generátorból kijövő teljesítményt adtuk meg a gyári adatok alapján, ami azonban nem egyezik meg a tényleges teljesítménnyel. Megjegyezzük, hogy az elmúlt években az EU által támogatott kis szélgenerátor összehasonlító programban ez a generátortípus nem szerepelt (Wineur, 2007). A hitelesítési görbe „túl jónak” mutatkozott a Wineur (2007) programban szereplő generátorokhoz képest. Ez ismét arra figyelmeztet, hogy óvatosan kell eljárni a telepítés előkészítésével, a szélgépek kiválasztásával. Már itt megjegyezzük, hogy dacára a kiváló teljesítmény görbének, egyik helyen sem ajánlottuk a telepítést, nem teljesültek a beruházás megtérülésének a feltételei.

Észak-pesti bevásárlóközpont

Az észak-pesti bevásárlóközpont térsége – ahol a mérés folyt – nem a főváros legszelesebb része. Annak ellenére sem, hogy az üzletközpont a Duna melletti nyílt területen van, és magassága körülbelül akkora, mint a körülötte levő 10 emeletes panelházé. Ennek magyarázata a Duna észak-déli folyásiránya és a budai hegyek árnyékoló hatása. Az épület a fő szélirányhoz képest „takarásban” van.

1. ábra. Szélenergetikai számítások egy észak-pesti bevásárlóközpontra (felszín felett 45 m-es magasságra) az épület tetején végzett mérések alapján (2008. április 29. és 2009. március 5.).

A műszerek az épület tetején, a tető szélén egy 6 m-es oszlop két szintjén (6 m és 4 m) lettek elhelyezve. A szélirányt és a szélsebességet Young szélmonitorral mértük (http://www.youngusa.com/05103.pdf), de használtunk egy Vaisala szálsebességmérőt is (http://www.vaisala.com/instruments/products/wind/wa15). Mindkét esetben a gyári hitelesítő görbét használtuk. A műszerek csapágyazása rendben volt.

A mintavételezési idő 5 másodperc volt, az adatokat 10 perces átlagolási idővel rögzítette egy Campbell CR10-es adatgyűjtő, amit 2-3 hetente kimentettünk egy számítógépre. A mérés 2008. április 29. és 2009. március 5. között folyt. A mérés 10 hónapjára az átlagos szélsebesség 2,5 m/s közelinek adódott (1. ábra). Az 5 kW-os teljesítményű Vk1–5 szélgenerátor a lehetséges energiatermelés 9,8%-át adta volna. A hosszú távú bizonytalanságokat (széleloszlás) is figyelembe véve az évi energiatermelésre vonatkozó becslésünk a teljes kapacitás 8 3%-ka volt, ami 2100 750 kWh energiatermelésnek felel meg. Ez alatta maradt a beruházó várakozásának.

Budaörsi családi házas környezet

A mérést a város szélén egy hegy tetején, családi házas területen végeztük 2010. novembere és 2011. márciusa között. A Vaisala WAA 15A szélmérőt a telken található kis épület falához erősített oszlopon, a talajfelszíntől 5,5 m-es, az épület tetejétől pedig 2 m-es magasságban végeztük. Így sem a környező épületek, sem a növényzet (a téli időszak miatt lombozat nincsen) nem jelentett lényeges zavaró hatást. Az adatgyűjtés az észak-pesti méréshez hasonlóan folyt.

A mérés időszakára meglepően kis átlagos szélsebességet (2,02 m/s) kaptunk. A 15 m-es szintre hatványkitevős módszerrel (p = 0,2) becsültük a szélsebesség adatokat. Logaritmikus profil közelítéssel is végeztünk számításokat (z0 = 0,4-0,5 m, d = 2,7-3,3 m). A megbízható energia termelési becsléshez a saját méréseinken kívül szükség volt egy hosszú távú adatsorra is. Ehhez rendelkezésre állt a pestszentlőrinci (12843) OMSZ állomás 1999 és 2011 közötti főterminusokban mért adatbázisa.

2. ábra. A budaörsi szélmérések és a 15 m-es szintre interpolált szélsebességi értékek és a belőlük számított relatív szélteljesítmény idősorok (2010. október – 2011. március).

A pestszentlőrinci és a budaörsi mérések hasonlósága miatt az 5 hónapos közös adatsor várható érték arányának megfelelően illesztettük a hosszú budapesti adatsort a budaörsi mérésekhez (A pestszentlőrinci adatokat szoroztuk 1,08-cal.). Hasonló módszerrel terjesztettük ki a budaörsi 15 m-re interpolált adatok érvényességét is. A 15 m-es szintre extrapolált évi szélsebesség nem érte el a 3 m/s-os értéket (Ubecslés=2,9 m/s). A Vk1–5 szélgenerátor alkalmazásával elérhető 4075 ±750 kWh/év energiatermelés a lehetséges hozam 15,5 ±3%-a. A beruházási költség 2,2 millió Ft-nak adódott, így itt sem számíthatunk gyors megtérülésre, s az üzemeltetési költségeket nem is számítottuk.

Szélenergetikai becslések 5 kW-os szélgenerátorokra az OMSZ állomások adatsorai alapján (Budapest, Kecskemét, Kékestető, Szolnok).

Az OMSZ főállomások főterminusokban mért nyers adatai hozzáférhetők különböző időjárási oldalakon. Ezeket rendeztük adatbázisba és végeztük el a hibás adatok kiszűrését. Budapest és Kékestető esetében 2004. január 1 – 2010. december 31. közötti adatsort használtunk fel. Budapestre erre az időszakra az átlagos szélsebesség 2,54 m/s volt, míg Kékestetőre (18 m-es szinten folynak a mérések) 3,83 m/s. A Budapestre számított 18 m-es átlagos szélsebesség (p = 0,2) 2,69 m/s-nak adódott. A másik két állomásra 2000. március 9 – 2004. május 31. álltak rendelkezésre adatok, az átlagos szélsebesség Kecskemétre 3,02 m/s volt, Szolnokra pedig 2,96 m/s. A Kecskemétre és Szolnokra számított 18 m-es szélsebesség 3,4 m/s, illetve 3,33 m/s lett. A Fortis Montana szélgenerátor teljesítmény görbéje alapján kiszámított teljesítmények a lehetséges hozam 31,9 %-a Kékestetőn. Budapestre ez mindössze 2,6 %. Kecskemétre 3,4 %, míg Szolnokra 3,1%. Az utóbbi három város esetében a Vk1-5 típusú generátorhoz képest a teljesítményben majdnem 10%-os eltérés adódott.

Összefoglalás

Vizsgálatainkban az 5 kW alatti elsősorban lakossági célra használt kis szélgenerátorok alkalmazási lehetőségeit elemeztük külföldi összehasonlító vizsgálatok, hazai terepi mérések és az OMSZ állomások adatai alapján. A becsült energiatermelési érték a lehetséges 10-20%-a között adódott. A jelenlegi generátorok még nem alkalmasak a széleskörű hazai elterjedésre. Egyes speciális helyeken (hegyvidéki területek, domborzat keltette szélcsatornák) a beruházás a megtérülés határán lehet. Ezek az adatok is alátámasztják a technikai fejlesztés szükségességét és a beruházások megfontolt előkészítését. A kisteljesítményű szélgenerátorok kifejezetten városi körülményekre adaptált legújabb típusainak fejlesztése azonban csak az elmúlt 3-5 esztendőben gyorsult fel, így várható, hogy a közeli jövőben ezen a téren már új lehetőségekkel számolhatunk. Ezt a folyamatot gyorsítja fel néhány kedvező változás, így például a Nagy-Britanniában elfogadott néhány tervezési dokumentum és jogszabály: Microgeneration Strategy [2006], Low Carbon Buildings Programme [2006-2010], Renewables Obligation Order [2006], Code for Sustainable Homes [2006].

Köszönetnyilvánítás: A kutatás az Európai Unió támogatásával és az Európai Szociális Alap társfinanszírozásával a TÁMOP 4.2.1./B-09/1/KMR-2010-0003 program keretében.

Irodalomjegyzék:

Cace, J., Syngellakis, K., Niel, M., ter Host, E., Clement, A. R., Peirano, E., 2007: Urban Wind Turbines, Guidelines for Small Wind Turbines in the Built Environment. Report, Wind Energy Integration in the Urban Environment (WINEUR), 41 p.

COST Action 710, 1998: Harmonization in the pre-processing of meteorological data for dispersion models. (Edited by Erbrink, G.J., Fisher, B.E.A., Kretzschmar, J.G., Thomson, D.J.) Office for Official Publications of the European Communities, Luxemburg.

Emeis, S., 2005: How Well Does a Power Law Fit to a Diabatic Boundary-Layer Wind Profile. DEWI Magazine Nr. 26.

Irwin, J. S., 1979: A theoretical variation of the wind profile power-law exponent as a function of surface roughness and stability. Atmospheric Environment 13, 191–194.

ISC3 – User’s Guide for the Industrial Source Complex (ISC3) Dispersion Models, Volumes 1 and 2, 1995. EPA Publication Nos. EPA–454/B–95–003a.

KÁT, 2010: Beszámoló a kötelező átvételi rendszer 2010. évi alakulásáról. Magyar Energia Hivatal, 52 oldal.

Keveiné Bárány I., 1991: A szélerő hasznosítás éghajlati adottságai az Alföldön. Földrajzi Értesítő XL(3–4), 355–369.

Kühn, P., 2010: Kleine Windenergieanlagen Betriebserfahrungen & Ertragsabschätzung. Fraunhofer-Institut für Windenergie und Energiesystemtechnik, BWE-Kleinwindanlagen-Symposium, 17. Oktober 2009. Kassel.

Steven, T., McCarl, B., McCarl, B. A., 1986: Small-sample evaluation of mean-variance production function estimators. American Journal of Agricultural Economics 68(3).

Szalai S., Gács I. Tar K és Tóth P., 2010: A szélenergia helyzete Magyarországon.  Magyar Tudomány, 2010/8.

Weidinger T., Pinto J., Horváth L., 2000: Effects of uncertainties in universal functions, roughness length, and displacement height on the calculation of surface layer fluxes. Meteorologische Zeitschrift 9(3), 139–154.

Weidinger, T., Kiss, A., Gyöngyösi, A.Z., Krassován, K. and Papp, B., 2006: Uncertainty of wind energy estimation. Wind Energy (Edited by Peinke, J., Schaumann, P. and Barth, S.), Proceeding of the Euromech Colloquium, Springer, 167–171.

Weidinger T., Matyasovszky I., Gyöngyösi A. Z., Véghely T., 2008: Szélenergetikai becslés egy budapesti bevásárlóközpontra tervezett szélgenerátor telepítéséhez. Tanulmány, ELTE Meteorológia Tanszék, Gaiasolar Kft, Budapest, 14 oldal.

Wineur, 2007: WINEUR-Report on wind resource assessment in the urban environment. Contract N° EIE/04/130/S07.38591, 47 p.

Váltson napenergiára, váltson a kiszámíthatóságra!

A folyton változó világpiaci helyzetben, az elszálló villanyárakkal szemben a napelemes rendszer jelentheti a biztonságot, a kiszámíthatóságot.